Fig. 7
Download original image
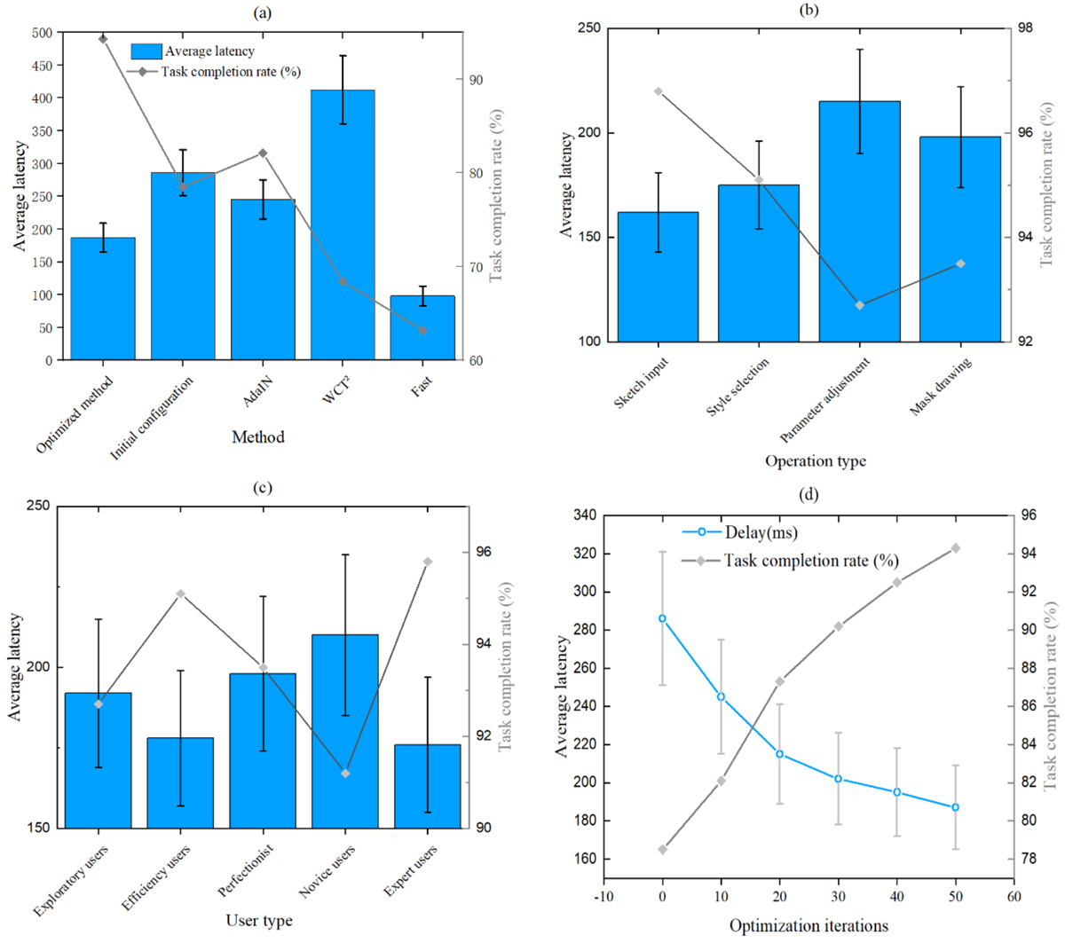
Multi-dimensional response latency. (a) Latency comparison of different methods. (b) Latency comparison of different operation types. (c) Latency comparison of different user types. (d) Latency during optimization.
Current usage metrics show cumulative count of Article Views (full-text article views including HTML views, PDF and ePub downloads, according to the available data) and Abstracts Views on Vision4Press platform.
Data correspond to usage on the plateform after 2015. The current usage metrics is available 48-96 hours after online publication and is updated daily on week days.
Initial download of the metrics may take a while.
